1 轴承寿命
单个滚动轴承中任意一个元件出现疲劳点蚀前运转的总转数或者在一定的转速下工作的小时数称为轴承寿命;
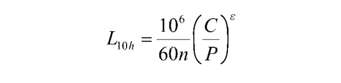
基本额定寿命L10:同一批轴承在相同工作条件下工作,其中90%的轴承在产生疲劳点蚀前所能运转的总转数(百万转)或者一定转速下的工作时数(失效概率10%);
轴承寿命计算公式:

单位:h试验转速n:20%~60%
试验载荷P:20%~35%
试验样本容量:一般取8~20套,另备5~10套做备用样品;
2 寿命试验的目的
• 查找轴承自身存在的缺陷,为进一步提高轴承寿命提供数据支撑,因为从产品的设计、制造以及应用的材料都会影响轴承的寿命,影响轴承使用寿命的因素可以分为两大类:
第一类:轴承本身,如材料、加工精度、热处理等;
第二类:应用本身,如安装有误、工况恶劣(转速、工作温度、环境等)等;

• 对轴承的疲劳寿命进行检验,得到轴承相关寿命可靠性水平;
• 为轴承的研发、改进等提供方向,为采购等提供文件数据支撑;
3 试验方法
完全试验:一组轴承样品,在相同试验条件下全部试验至失效;截尾试验:一组轴承样品,在相同试验条件下部分试验至失效;

试验设备
试验设备内部结构原理
试验机结构原理图,包含机架部件、试验单元、驱动系统、径向加载系统、轴向加载系统、润滑系统、冷却系统、高温发生系统、测控系统等部件组成。
试验单元由试验腔体和试验头组成。试验腔体固定在机架部件中的平板上;试验头安装在试验腔体内,主要由端负荷体、中负荷体、试验芯轴、中衬套、端衬套、隔离环、拆卸环、锁紧螺母和试验轴承组成。

试验工装装配图

4 测试
试验设备一般应连续运转,对试验(载荷、转速、振动、电流、温度、温升)进行全程监测,设备本身各参数控制在要求范围内,对测试设备、测试轴承进行保护,防止测试过程中出现意外损坏设备,也可把轴承的失效控制在最初始阶段,有利于失效原因分析,提出改进方向;
试验过程

试验过程中,通过转速、载荷、温度、振动、电流传感器进行监测相关参数,传输到监测软件上汇总显示,需要保温测试的工况需要增加相应的加热器(油脂润滑轴承增加“加热条”到试验单元进行加热,油润滑试验通过加热润滑油以达到目的)。
试验结束

载荷&转速

逐一记录轴承在试验中的工作条件变化状况,如转速n、径向载荷Gr、轴向载荷Ga在每个时间点的稳定性,变化趋势,确保测试条件的准确性及稳定性;
振动

对整个试验工装的振动情况进行记录,对每一时刻的振动值进行记录,在整个测试中的振动趋势变化可以全程跟踪轴承的状态,是否出现异常以及异常的趋势变化,分析轴承在测试中哪一阶段开始出现异常,是否出现打滑等状况;
电流

对测试全程进行监测电流状况,电流的变化趋势,是否出现过载等;
温度

温升

在测试中,对每套轴承的温度、温升进行逐一监控,进行详细记录每套轴承在每个时间点的温度状况,对整个测试的温度变化形成趋势,是否形成异常高温等;
5 测试件分析
分析

失效

6 可靠性评估
可靠度也叫可靠性,指的是产品在规定的时间内,在规定的条件下,完成预定功能的能力,包括结构的安全性,适用性和耐久性。
最佳线性不变估计
a)完全试验

b)截尾试验

当r=N时,即为完全试验;
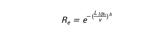
依据b、v估计L10t、L50t以及Re基本额定寿命试验值:

可靠度:

合格判定
1)L10t、Re数据一般精确到两位有效数字;
2)L10t/L10h≥Z即为合格,其中球轴承Z=1.4,滚子轴承及调心球轴承Z=1.2;
3)根据质量要求,按如下进行合格评定,长寿命试验时,试验报告还应给出达到合格倍数的值;
验证试验:达到合格寿命为验证试验合格;
鉴定试验:达到合格寿命3倍为鉴定试验合格。
(来源:CHIPRO驰创工业服务)
轴研所公众号 轴承杂志社公众号




